|
【资助】2023—2024学年春季学期本科生勤工助学固定岗位招聘公示 |
||
|
||
|
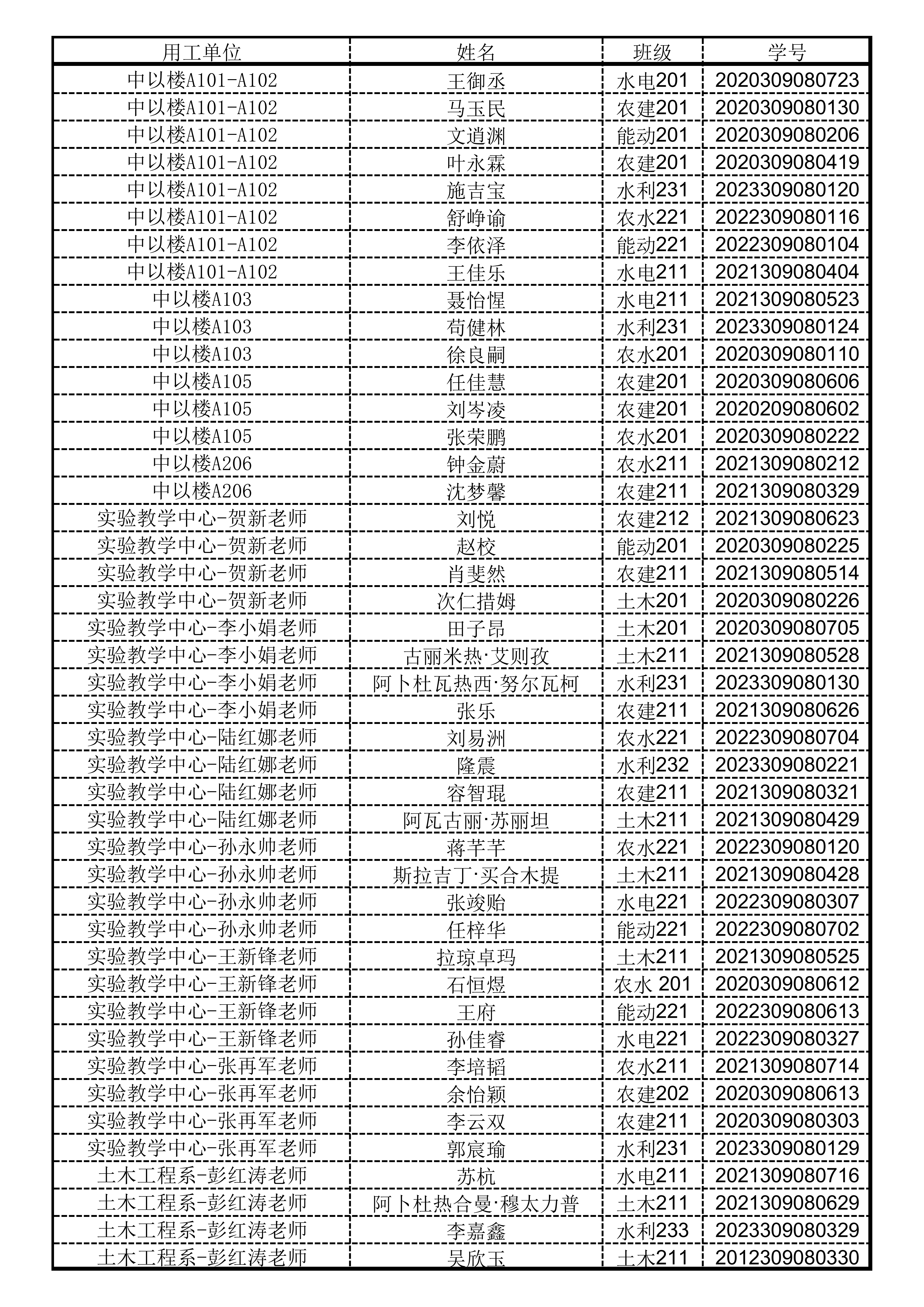
各位同学: 水院2023-2024学年春季学期勤工助学岗位遴选工作实行“线上报名—筛选—上岗—考核”模式,并依据消息公开、遴选公开、结果公开的工作准则开展。学院提供院内行政办公室助理和实验室助理共计约44个岗位。经同学线上报名,单位筛选,现对2023-2024学年春季学期本科生勤工助学固定岗位分配名单进行公示,名单如下:
请名单内勤工助学同学于3月18日(周一)24:00前扫描如下二维码加入春季勤工助学联络群,并尽快将本人备注修改为“姓名+班级”,群管理将对同学身份进行核实。进群后勤工助学同学可在群内与所对接老师取得联系。请各老师与勤工助学同学确定好工作内容与工作时间,开展春季勤工助学工作。
公示时间:2024年3月15日至3月17日。 如有异议,请于公示期内联系。 联系人:白老师 联络方式:syzz@cau.edu.cn 304永利登录入口 2024年3月15日 |
||
| 打印本页 关闭窗口 |

